研究テーマ
概要:有機金属錯体触媒を利用した新規有機合成反応の開発と機能性材料への展開
遷移金属を用いることにより,古典的な手法では不可能な反応性や選択性をもつ有機金属反応剤や有機金属触媒の創製が可能となります。
さらに,金属上の配位子(有機化合物)を代えることで,その反応剤や触媒の反応性を精密に制御することもできます。
機能有機化学研究室では,そのような金属と有機化合物から構成される有機金属錯体の特性を巧みに利用し,有機合成反応の基幹となる新規な炭素−炭素結合生成反応の開発を目指しています。
さらに、化学者が21世紀に取り組むべき一大テーマのひとつである「環境にやさしい化学(Green Chemistry)
」の達成を目指し,環境調和を指向した反応系の構築を視野に入れ,研究をおこなっています。
主な研究テーマ (クリックすると詳細が表示されます)
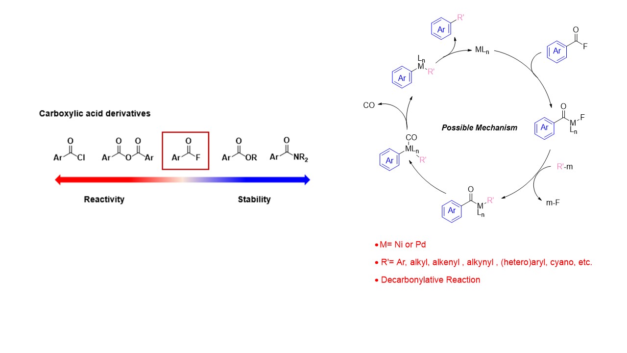
1. ニッケルまたはパラジウム触媒によるフッ化アシルの脱カルボニル型変換反応の開発
フッ化アシルは,対応するカルボン酸から容易に調製できる化合物であるにもかかわらず,これまでフッ化アシルの反応性についてはあまり研究されていなかった。われわれは,ニッケルまたはパラジウム触媒を用いることで,フッ化アシルの脱カルボニル型変換反応を開発することを目的に研究をおこない,炭素−炭素、炭素−ヘテロ元素結合形成反応の開発に成功しました。これらの反応は,酸化的付加,トランスメタル化,還元的脱離を経て進行すると考えていますが,鍵となる脱カルボニル化反応がどの段階で進行しているかを明らかにするために中間錯体の単離や計算化学を活用しています。

-
Yasuhiro Okuda, Jie Xu, Takumi Ishida, Chen-an Wang, and Yasushi Nishihara
Nickel-Catalyzed Decarbonylative Alkylation of Aroyl Fluorides Assisted by Lewis-Acidic Organoboranes
ACS Omega 3, 13129-13140 (2018).
- Zhenhua Wang, Xiu Wang, and Yasushi Nishihara
Nickel-catalysed decarbonylative borylation of aroyl fluorides
Chem. Commun. 13969-13972 (2018).
- Xiu Wang, Zhenhua Wang, Yuya Asanuma, and Yasushi Nishihara
Synthesis of 2-Substituted Propenes by Bidentate Phosphine-Assisted Methylenation of Acyl Fluorides and Acyl Chlorides with AlMe3
Org. Lett. 21, 3640-3643 (2019).
- Xiu Wang, Zhenhua Wang, Li Liu, Yuya Asanuma, and Yasushi Nishihara
Nickel-Catalyzed Decarbonylative Stannylation of Acyl Fluorides under Ligand-Free Conditions
Molecules 24, 1671 (2019).
- Zhenhua Wang, Xiu Wang, and Yasushi Nishihara
PPh3‐Assisted Esterification of Acyl Fluorides with Ethers via C(sp3)-O Bond Cleavage Accelerated by TBAT
Catalysts 9, 574 (2019).
- Zhenhua Wang, Xiu Wang, Yasuyuki Ura, and Yasushi Nishihara
Nickel-Catalyzed Decarbonylative Cyanation of Acyl Chlorides
Org. Lett. 21, 6779-6784 (2019).
- Xiu Wang, Zhenhua Wang, and Yasushi Nishihara
Nickel/copper-cocatalyzed decarbonylative silylation of acyl fluorides
Chem. Commun. 55, 10507-10510 (2019).
- Zhenhua Wang, Xiu Wang, and Yasushi Nishihara
Nickel or Palladium-Catalyzed Decarbonylative Transformations of Carboxylic Acid Derivatives
Chem. Asian J. 15, 1234-1247 (2020).
- Liyan Fu, Qiang Chen, Zhenhua Wang, and Yasushi Nishihara
Palladium-Catalyzed Decarbonylative Alkylation of Acyl Fluorides
Org. Lett. 22, 2350-2353 (2020).
- Xiu Wang, Zhenhua Wang, Takumi Ishida, and Yasushi Nishihara
Methoxylation of Acyl Fluorides with Tris(2,4,6-trimethoxyphenyl)phosphine via C-OMe Bond Cleavage under Metal-Free Conditions
J. Org. Chem. 85, 7526-7533 (2020).
- Qiang Chen, Liyan Fu, and Yasushi Nishihara
Palladium/copper-cocatalyzed decarbonylative alkynylation of acyl fluorides with alkynylsilanes: Synthesis of unsymmetrical diarylethynes
Chem. Commun. 56, 7977-7980 (2020).
- Liyan Fu, Qiang Chen, and Yasushi Nishihara
Decarboxylative Cross-Coupling of Acyl Fluorides with Potassium Perfluorobenzoates
Org. Lett. 22, 6388-6393 (2020).
- Liyan Fu, Jingwen You, and Yasushi Nishihara
Palladium-catalyzed decarbonylative and decarboxylative cross-coupling of acyl chlorides with potassium perfluorobenzoates affording unsymmetrical biaryls
Chem. Commun. 57, 3696-3699 (2021).
- Liyan Fu, Qiang Chen, and Yasushi Nishihara
Recent Advances in Transition-metal-catalyzed C-C Bond Formation via C(sp2)-F Bond Cleavage
Chem. Rec. 21, 3394- 3410 (2021).
- Jingwen You, Qiang Chen, and Yasushi Nishihara
Nickel-Catalyzed Decarbonylative Thioetherification of Acyl Fluorides via C-F Bond Activation
Synthesis 53, 3045-3050 (2021).
- Qiang Chen, Liyan Fu, Jingwen You, and Yasushi Nishihara
Ni-Catalyzed Decarbonylative Alkynylation of Acyl Fluorides with Terminal Alkynes under Copper-Free Conditions
Synlett 32, 1560-1564 (2021).
- Qiang Chen, Zhenyao Li, and Yasushi Nishihara
Palladium/Copper-Cocatalyzed Arylsilylation of Internal Alkynes with Acyl Fluorides and Silylboranes: Synthesis of Tetrasubstituted Alkenylsilanes by Three-Component
Org. Lett. 24, 385-389 (2022).
2. 多置換オレフィンの高位置および立体選択的合成
多置換オレフィンの選択的合成は、有機合成化学において、非常に重要な課題となっています。当研究室では、アルキニル金属反応剤に対する位置選択的ジルコナシクロペンテンの形成によって、複数の金属で置換されたオレフィンを合成し、これに対する段階的なクロスカップリング反応をおこなうことで、目的とする多置換オレフィンを高位置および立体選択的に合成することに成功しています。

-
Y. Nishihara, M. Miyasaka, M. Okamoto, H. Takahashi, E. Inoue, K. Tanemura, and K. Takagi
Zirconocene-Mediated Highly Regio- and Stereoselective Synthesis of Multisubstituted Olefins Starting from 1-Alkynylboronates
J. Am. Chem. Soc. 129, 12634-12635 (2007).
- Y. Nishihara, D. Saito, K. Tanemura, S. Noyori, and K. Takagi
Regio- and Stereoselective Synthesis of Multi-Substituted Vinylsilanes via Zirconacycles
Org. Lett. 11, 3546-3549 (2009).
- Y. Nishihara, Y. Okada, J. Jiao, M. Suetsugu, M.-T. Lan, M. Kinoshita, M. Iwasaki, and K. Takagi
Highly Regio- and Stereoselective Synthesis of Multi-alkylated Olefins through Carbozirconation of Alkynylboronates and Sequential Negishi and Suzuki-Miyaura Coupling Reactions
Angew. Chem. Int. Ed. 50, 8660-8664. (2011).
- J. Jiao, Y. Nishihara
Alkynylboron Compounds in Organic Synthesis.
J. Organomet Chem. 721-722, 3-16 (2012).
- Jiao Jiao, Kiyohiko Nakajima, and Yasushi Nishihara
Synthesis of Multisubstituted Olefins through Regio- and Stereoselective Silylborylation of an Alkynylboronate/ Chemoselective Cross-Coupling Sequences
Org. Lett. 15, 3294-3297 (2013)
- Jiao Jiao, Keita Hyodo, Hao Hu, Kiyohiko Nakajima, and Yasushi Nishihara
Selective Synthesis of Multisubstituted Olefins Utilizing gem- and vic-Diborylated Vinylsilanes Prepared by Silylborylation of an Alkynylboronate and Diborylation of Alkynylsilanes
J. Org. Chem. 79, 285-295 (2014).
- Keita Hyodo, Masato Suetsugu, and Yasushi Nishihara
Diborylation of Alkynyl MIDA Boronates and Sequential Chemoselective Suzuki-Miyaura Couplings: A Formal Carboborylation of Alkynes
Org. Lett. 16, 440-443 (2014).
3. フェナセン型有機分子の精密合成
ピセンは,五つのベンゼン環からなる縮環π共役系有機分子であり,フェナセン型分子に分類されます。フェナセン型分子の高い機能性から有機電界効果トランジスタや有機薄膜太陽電池の素子としての応用が期待されている化合物群です。しかしながら,ピセンの化学的合成は容易ではなく,ピセン誘導体の一般的な合成法は確立されていません。私たちは,遷移金属触媒を用いて効率的にピセンを合成することを目的として研究をおこなっています。現在,パラジウム触媒による分子内環化反応を利用したピセン骨格構築法の開発に取り組んでいます。

-
Ning-hui Chang, Xi-chao Chen, Hikaru Nonobe, Yasuhiro Okuda, Hiroki Mori, Kiyohiko Nakajima, and Yasushi Nishihara
Synthesis of Substituted Picenes through Pd-Catalyzed Cross-Coupling Reaction/Annulation Sequence and Their Physicochemical Properties
Org. Lett. 15, 3558-3561 (2013).
- Ning-hui Chang, Hiroki Mori, Xi-chao Chen, Yasuhiro Okuda, Takeru Okamoto, and Yasushi Nishihara
Synthesis of Substituted [6]Phenacenes through Suzuki-Miyaura Coupling of Polyhalobenzene with Alkenylboronates and Sequential Intramolecular Cyclization via C-H Bond Activation
Chem. Lett. 42, 1257-1259 (2013).
- Yasushi Nishihara, Megumi Kinoshita, Keita Hyodo, Yasuhiro Okuda, Ritsuko Eguchi, Hidenori Goto, Shino Hamao, Yasuhiro Takabayashi, and Yoshihiro Kubozono
Phenanthro[1,2-b:8,7-b']dithiophene: A New Picene-type Molecule for Transistor Applications
RSC Advances 3, 19341-19347 (2013).
- Hiroki Mori, Xi-chao Chen, Ning-hui Chang, Shino Hamao, Yoshihiro Kubozono, Kiyohiko Nakajima, and Yasushi Nishihara
Synthesis of Methoxy-Substituted Picenes: Substitution Position Effect on Their Electronic and Single-Crystal Structures
J. Org. Chem. 79, 4973-4983 (2014).
- Xi-Chao Chen, Shuhei Nishinaga, Yasuhiro Okuda, Jia-Ji Zhao, Jie Xu, Hiroki Mori, and Yasushi Nishihara
A divergent synthesis of 3,10-dialkylpicenes
Org. Chem. Front. 3, 536-541 (2015).
4. 含硫黄縮合多環芳香族化合物の開発と有機電界効果トランジスタへの応用
チオフェンを含む縮合多環芳香族化合物は,原子半径の大きな硫黄原子があることで隣接する分子同士の π 軌道の重なりが大きくなります。そのため,極めて強い分子間相互作用を持ち,極めて高いキャリア移動度を示すことから,高性能な有機電界トランジスタを達成できる有用な化合物群です。私たちは,精密有機合成を駆使することで,これまで合成が達成されていなかった新規フェナセン型含硫黄縮合多環芳香族化合物の開発に成功しているだけでなく,それらの効率的合成手法の開拓により,実用化において極めて重要なグラムスケールでの大量合成に成功しています。さらに,開発した材料を,実際の有機電界効果トランジスタへ応用し,最大 2 cm2 V?1 s?1 までのアモルファスシリコンに匹敵する電界効果移動度を達成しています。

-
Yasushi Nishihara, Megumi Kinoshita, Keita Hyodo, Yasuhiro Okuda, Ritsuko Eguchi, Hidenori Goto, Shino Hamao, Yasuhiro Takabayashi, and Yoshihiro Kubozono
Phenanthro[1,2-b:8,7-b']dithiophene: A New Picene-type Molecule for Transistor Applications
RSC Adv. 3, 19341-19347 (2013).
-
Keita Hyodo, Hikaru Nonobe, Shuhei Nishinaga, and Yasushi Nishihara
Synthesis of 2,9-dialkylated phenanthro[1,2-b:8,7-b']dithiophenes via cross-coupling reactions and sequential Lewis acid-catalyzed regioselective cycloaromatization of epoxide
Tetrahedron Lett. 55, 4002-4005 (2014).
-
Yoshihiro Kubozono, Keita Hyodo, Hiroki Mori, Shino Hamao, Hidenori Goto, and Yasushi Nishihara
Transistor application of new picene-type molecules, 2,9-dialkylated phenanthro[1,2-b:8,7-b']dithiophenes
J. Mater. Chem. C 3, 2413-2421 (2015).
-
Yoshihiro Kubozono, Keita Hyodo, Shino Hamao, Yuma Shimo, Hiroki Mori, and Yasushi Nishihara
Transistor Properties of 2,7-Dialkyl-Substituted Phenanthro[2,1-b:7,8-b']dithiophene
Sci. Rep. 6, 38535/1-9 (2016).
-
Keita Hyodo, Hideki Hagiwara, Ryota Toyama, Hiroki Mori, Shin-ichi Soga, and Yasushi Nishihara
Bis[1]benzothieno[2,3-d:2',3'-d']anthra[1,2-b:5,6-b']dithiophene: Synthesis, Characterization, and Application to Organic Field-Effect Transistors
RSC Adv. 7, 6089-6092 (2017).
-
Keita Hyodo, Hideki Hagiwara, Ryota Toyama, Hiroki Mori, Shin-ichi Soga, and Yasushi Nishihara
Synthesis and Physicochemical Properties of Piceno[4,3-b:9,10-b']dithiophene Derivatives and Their Application in Organic Field-Effect Transistors
ACS Omega 2, 308-315 (2017).
-
Shuhei Nishinaga, Hiroki Mori, and Yasushi Nishihara
Synthesis and Transistor Application of Bis[1]benzothieno[6,7-d:6',7'-d']benzo[1,2-b:4,5-b']dithiophenes
J. Org. Chem. 83, 5506-5515 (2018).
-
Shuhei Nishinaga, Hiroki Mori, and Yasushi Nishihara
Synthesis and Transistor Characteristics of Dinaphtho[2,3-d:2',3'-d']anthra[1,2-b:5,6-b']dithiophene (DNADT)
Chem. Lett. 47, 1409-1411 (2018).
-
Keita Hyodo, Shuhei Nishinaga, Yuta Sawanaka, Takumi Ishida, Hiroki Mori, and Yasushi Nishihara
Synthesis and Physicochemical Properties of Dibenzo[2,3-d:2',3'-d']anthra[1,2-b:5,6-b']dithiophene (DBADT) and Its Derivatives: Effect of Substituents on Their Molecular Orientation and Transistor Properties
J. Org. Chem. 84, 698-709 (2019).
-
Shuhei Nishinaga, Masato Mitani, Hiroki Mori, Toshihiro Okamoto, Jun Takeya, and Yasushi Nishihara
Bis[1]benzothieno[5,4-d:5',4'-d']benzo[1,2-b:4,5-b']dithiophene Derivatives: Synthesis and Effect of Sulfur Positions on Their Transistor Properties
Bull. Chem. Soc. Jpn. 92, 1107-1116 (2019).
-
Takumi Ishida, Yuta Sawanaka, Ryota Toyama, Zhenfei Ji, Hiroki Mori, and Yasushi Nishihara
Synthesis of Dinaphtho[2,3-d:2',3'-d']anthra[1,2-b:5,6-b']dithiophene (DNADT) Derivatives: Effect of Alkyl Chains on Transistor Properties
Int. J. Mol. Sci. 21, 2447/1-16 (2020).
-
Zhenfei Ji, Zeliang Cheng, Hiroki Mori, and Yasushi Nishihara
Synthesis and Physicochemical Properties of 2,7-Disubstituted Phenanthro[2,1-b:7,8-b']dithiophenes
Molecules 25, 3842/1-12 (2020).
5. フェナセン系高性能半導体ポリマーの開発と高性能有機薄膜太陽電池への展開
チオフェンを含む縮合多環芳香族化合物は,半導体高分子の構成要素としてもきわめて有用な骨格であり,特に,深い HOMO レベルを持つ含硫黄フェナセン型分子は,非常に有用な構成要素となることが期待できます。しかしながら,合成が困難であるため,このようなフェナセン型分子を主鎖に持つ高分子半導体はいまだ限られています。私たちは,上記で開発した含硫黄フェナセン型分子をポリマー主鎖に導入したポリマーを開発することに初めて成功しました。現在のところ,合成したポリマーを用いた太陽電池素子において,6% を超える高い光電変換効率を達成しています。

-
Hiroki Mori, Masato Suetsugu, Shuhei Nishinaga, Ning-hui Chang, Hikaru Nonobe, Yasuhiro Okuda, and Yasushi Nishihara
Synthesis, Characterization, and Solar Cell and Transistor Applications of Phenanthro[1,2-b:8,7-b']dithiophene-Diketopyrrolopyrrole Semiconducting Polymers
J. Polym. Sci., Part A: Pol. Chem. 53, 709-718 (2015).
-
Shuhei Nishinaga, Hiroki Mori, and Yasushi Nishihara
Phenanthrodithiophene-Isoindigo Copolymers: Effect of Side Chains on Their Molecular Order and Solar Cell Performance
Macromolecules 48, 2875-2885 (2015).
-
Shuhei Nishinaga, Hiroki Mori, and Yasushi Nishihara
Impact of Alkyl Side Chains on Thin-Film Transistor Performances in Phenanthrodithiophene-Isoindigo Copolymers
Chem. Lett. 44, 998-1000 (2015).
-
Hiroki Mori, Hikaru Nonobe, and Yasushi Nishihara
Highly Crystalline, Low Band-gap Semiconducting Polymers Based on Phenanthrodithiophene-Benzothiadiazole for Solar Cells and Transistors
Polym. Chem. 7, 1549-1558 (2016) (cover picture).
-
Hiroki Mori, Shuto Hara, Shuhei Nishinaga, and Yasushi Nishihara
Solar Cell Performance of Phenanthrodithiophene-Isoindigo Copolymers Depends on Their Thin-Film Structure and Molecular Weight
Macromolecules 50, 4639-4648 (2017).
-
Hiroki Mori, Ryosuke Takahashi, Keita Hyodo, Shuhei Nishinaga, Yuta Sawanaka, and Yasushi Nishihara
Phenanthrodithiophene (PDT)-Difluorobenzothiadiazole (DFBT) Copolymers: Effect on Molecular Orientation and Solar Cell Performance of Alkyl Substitution onto a PDT Core
Macromolecules 51, 1357-1369 (2018).
-
Hiroki Mori, Shuto Hara, Ryota Toyama, Yuya Asanuma, Ryosuke Takahashi, Shuhei Nishinaga, and Yasushi Nishihara
Effect of Substitution Positions of Alkyl Side Chains in Phenanthrodithiophene-Isoindigo Copolymers: The Enhancement of Crystallinity and Control of Molecular Orders
J. Polym. Sci., Part A: Pol. Chem. 56, 1757-1767 (2018).
-
Hiroki Mori, Ryosuke Takahashi, and Yasushi Nishihara
Development of a Phenanthrodithiophene-Difluorobenzoxadiazole Copolymer Exhibiting High Open-Circuit Voltage in Organic Solar Cells
J. Polym. Sci., Part A: Pol. Chem. 56, 2646-2655 (2018).
-
Hiroki Mori and Yasushi Nishihara
Low-Bandgap Semiconducting Polymers Based on Sulfur-Containing Phenacene-Type Molecules for Transistor and Solar Cell Applications
Polymer J. 50, 615-625 (2018).
-
Hiroki Mori
Development of semiconducting polymers based on a novel heteropolycyclic aromatic framework
Polymer J. 53, 975-987 (2021) (cover picture).
6. 電子欠損型複素多環芳香族化合物を主骨格とする半導体高分子の開発
チアジアゾールやピラジンを含む複素多環芳香族化合物は,高い電子受容能を有するため p 型のみならず、n 型半導体高分子を開発するための有用な骨格として知られています。私たちは,チアジアゾールやピラジン環を含む新たな電子欠損型複素多環芳香族化合物とこれらを主骨格とする半導体ポリマーの開発に成功しました。合成したポリマーは有機電界効果トランジスタおよび有機薄膜太陽電池におい良好な特性を示し,高性能な半導体ポリマーを開発するための新たな構成要素として高い可能性を示すことを明らかとしています。

-
Hiroki Mori, Masato Suetsugu, Shuhei Nishinaga, Ning-hui Chang, Hikaru Nonobe, Yasuhiro Okuda, and Yasushi Nishihara
Alkoxy-Substituted Anthra[1,2-c:5,6-c']bis([1,2,5]thiadiazole) (ATz): a New Electron-Acceptor Unit in the Semiconducting Polymers for Organic Electronics
Macromolecules 51, 5473-5484 (2018).
-
Yuya Asanuma, Hiroki Mori, Ryosuke Takahashi, and Yasushi Nishihara
Vinylene-Bridged Difluorobenzo[c][1,2,5]thiadiazole (FBTzE): A New Electron-Deficient Building Block for High-Performance Semiconducting Polymers in Organic Electronics
J. Mater. Chem. C 7, 905-916 (2019).
-
Yuya Asanuma, Hiroki Mori, and Yasushi Nishihara
Transistor Properties of Semiconducting Polymers Based on Vinylene-bridged Difluorobenzo[c][1,2,5]thiadiazole (FBTzE)
Chem. Lett. 48, 1029-1031 (2019).
-
Hiroki Mori
Development of semiconducting polymers based on a novel heteropolycyclic aromatic framework
Polymer J. 53, 975-987 (2021) (cover picture).
過去の研究はこちら